Kumpulan barbagai contoh surat , pas dengan format dan contohnya

Cara Mudah Menulis Surat Pernyataan Ganti Rugi Kerusakan Standar Format

Cara Mudah Menulis Surat Pernyataan Ganti Rugi Kerusakan Standar Format,Surat Merupkanan salah satu media informasi yang sampai saat ini masih dibutuhkan , konsep dan pengembanganyapun sangat beragam apalagi kalau bicara tentang surat non formal. Sebab surat non formal sendiri gaya dan aturannya tergantung dari si pembuat dan bentuk pesan yang kan disampaikan. Berbeda dengan surat formal Cara Mudah Menulis Surat Pernyataan Ganti Rugi Kerusakan Standar Format yang cenderung sesuai dengan kebutuhan dan aturan yang sudah baku dan ditentukan dari tiap lembaga dan intalasi yang berkaitan.

Bentuk dan susunannya pun sudah ada aturanya sendiri-sendiri. Namun point pentingnya dari bagian surat hampir sama.Menulis Cara Mudah Menulis Surat Pernyataan Ganti Rugi Kerusakan Standar Format usahakan dengan gaya bahasa yang sopan dan baik dan yang paling penting adalah dengan menggunakan konsep yang rapi serta sesuai dengan sasaran yang akan ditujunya.

Contoh surat pernyataan ganti rugi kerusakan lingkungan, contoh surat pernyataan ganti rugi kerusakan hutan, contoh surat pernyataan ganti rugi kerusakan lapisan, contoh surat pernyataan ganti rugi menurut, contoh surat pernyataan ganti rugi dalam, contoh surat pernyataan ganti rugi adalah, contoh surat pernyataan ganti rugi karna, contoh surat pernyataan ganti rugi dan, contoh surat pernyataan kesanggupan, contoh surat pernyataan ahli waris, contoh surat pernyataan belum menikah, contoh surat pernyataan orang tua, contoh surat pernyataan pemberlakuan kurikulum, contoh surat rasmi, contoh surat pengunduran diri, contoh surat pernyataan, contoh surat dinas, contoh surat permohonan, contoh surat resmi, contoh surat keterangan kerja,



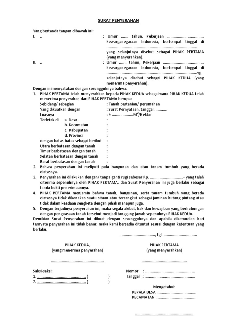
Contoh Surat Pernyataan Ganti Rugi - Contoh Waouw
Contoh Surat Pernyataan Ganti Rugi - Contoh Waouw via contohwaouw.blogspot.com


Contoh Surat Pernyataan Ganti Nama Perusahaan - Contoh O
Contoh Surat Pernyataan Ganti Nama Perusahaan - Contoh O via contoho.blogspot.co.id


Contoh Surat Berita Acara Ganti Rugi Barang - Contoh U
Contoh Surat Berita Acara Ganti Rugi Barang - Contoh U via contohu.blogspot.com


Contoh surat pernyataan muallaf  anekacontoh
Contoh Surat Pernyataan Muallaf Anekacontoh via anekacontoh.wordpress.com


Contoh Surat Tuntutan Ganti Rugi Tanah
Contoh Surat Tuntutan Ganti Rugi Tanah via contohxsurat.co


Contoh Surat Resign Yang Baik  CONTOH SURAT/MATERI
Contoh Surat Resign Yang Baik Contoh Surat/materi via www.bestresumesamples.net


Contoh Surat Ganti Rugi Lahan
Contoh Surat Ganti Rugi Lahan via www.neodv8.co


Contoh Surat Perintah Kerja/Tugas (SPK) - SiAmplop
Contoh Surat Perintah Kerja/tugas (spk) - Siamplop via www.siamplop.com


6 Contoh Surat Pernyataan Kesanggupan Paling Fresh 2017
6 Contoh Surat Pernyataan Kesanggupan Paling Fresh 2017 via www.bagi-in.com


Contoh Surat Hibah Tanah 2015  Contoh Surat Lengkap
Contoh Surat Hibah Tanah 2015 Contoh Surat Lengkap via pusatsurat.blogspot.my


Selalu Ada Solusi: April 2011
Selalu Ada Solusi: April 2011 via pricrimbun.blogspot.com


Contoh Surat Kuasa Serah Terima Apartemen - Contoh IK
Contoh Surat Kuasa Serah Terima Apartemen - Contoh Ik via contohik.blogspot.com


Contoh Surat Rasmi Memohon Maaf - Lowongan Kerja
Contoh Surat Rasmi Memohon Maaf - Lowongan Kerja via lolokerja.blogspot.com


Contoh Surat Pengunduran Diri Kerja Yang Baik Dan Benar
Contoh Surat Pengunduran Diri Kerja Yang Baik Dan Benar via popcorntimeforandroid.com


Random Image

Baca :


Share on Facebook
Share on Twitter
Share on Google+
Tags :

Related : Cara Mudah Menulis Surat Pernyataan Ganti Rugi Kerusakan Standar Format

0 comments:

Posting Komentar